Contoh Surat Cuti Bersalin - Salah satu hak yang dimiliki para pekerja adalah hak cuti, dan salah satunya adalah hak cuti tahunan.

Contoh Surat Cuti Bersalin - Salah satu hak yang dimiliki para pekerja adalah hak cuti, dan salah satunya adalah hak cuti tahunan.. Untuk surat cuti pns ini, beberapa. Text of contoh surat surat cuti. Kop surat contoh surat izin cuti tahunan langsung kepegawaian: Sama seperti dengan cuti melahirkan, akan tetapi kali ini adalah izin cuti menikah. 15 gambar contoh surat permohonan cuti bersalin bagi pns yang benar 2019 cuti melahirkan bersalin bagi pns wikipns the collection of images contoh surat permohonan cuti bersalin bagi pns that are elected.

Surat izin cuti bersalin nomor … diberikan cuti bersalin kepada pegawai negeri sipil : Contoh surat cuti melahirkan untuk pegawai. Kop surat contoh surat izin cuti tahunan langsung kepegawaian: Contoh surat cuti melahirkan untuk karyawan perusahaan/pegawai swasta. 13 </b>nt&k persalinan anak 4ang pertama, ked&a, dan ketiga, pegawai negeri +ipil wanita berhak atas /&ti bersalin 3 </b>nt&k persalinan anakn4a 4ang keempat dan seter.

Contoh Surat Permohonan Cuti Kerja Doc
Contoh Surat Permohonan Cuti Kerja Doc from lezgetreal.com
Cuti karena alasan penting : Sebagai bahan pertimbangan bersama ini saya lampirkan : Untuk bahan pertimbangan bersama ini saya lampirkan Salah satu hak yang dimiliki para pekerja adalah hak cuti, dan salah satunya adalah hak cuti tahunan. Contoh surat permohonan cuti melahirkan yang baik. Contoh surat permohonan cuti bersalin guru merupakan surat izin oleh guru yang akan mengajukan ijin cuti karena alasan bersalin dan ditujuk. Sebelum diberikan cuti bersalin, saya bersedia memberikan kembali pekerjaan yang ditugaskan sebelumnya kepada atasan. Sertakan surat pendukung untuk cuti (sesuai cuti apa yang diajukan), untuk cuti melahirkan atau bersalin, dapat disertakan surat keterangan dokter.

Format surat pengantar permohonan cuti melahirkan bagi pns.

Text of contoh surat surat cuti. Untuk bahan pertimbangan bersama ini saya lampirkan Untuk mendapatkan surat izin cuti, ada banyak hal yang bisa menjadi alasan. Cuti diluar tanggung jawab negara, cuti karena alasan penting, cuti tahunan, cuti besar. Adapun waktu cutinya adalah 1,5 bulan sebelum melahirkan. Sekiranya anda tidak tahu menggunakan alasan yang relevan isteri atau anda sendiri merupakan seorang ibu yang menyusu dan menjaga anak selepas bersalin. Bagi anda yang saat ini sedang mencari contoh surat cuti melahirkan kali ini massiswo.com akan membagikan beberapa bentuk format. Umumnya mereka yang memiliki hak ini sudah harus lebih dulu bekerja minimal 12 bulan. 15 gambar contoh surat permohonan cuti bersalin bagi pns yang benar 2019 cuti melahirkan bersalin bagi pns wikipns the collection of images contoh surat permohonan cuti bersalin bagi pns that are elected. Surat izin cuti kerja di tempat. Contoh surat cuti karena alasan penting. Surat izin cuti diberikan oleh suatu instansi sebagai bukti atau keterangan bahwa seorang pegawai telah diberikan izin untuk melakukan cuti. Kop surat contoh surat izin cuti tahunan langsung kepegawaian:

Gubug reot, 7 agustus 2013. S&arat's&arat (enga)ukan cuti bersalin : 15 gambar contoh surat permohonan cuti bersalin bagi pns yang benar 2019 cuti melahirkan bersalin bagi pns wikipns the collection of images contoh surat permohonan cuti bersalin bagi pns that are elected. Contoh surat permohonan cuti umroh. Bagi anda yang saat ini sedang mencari contoh surat cuti melahirkan kali ini massiswo.com akan membagikan beberapa bentuk format.

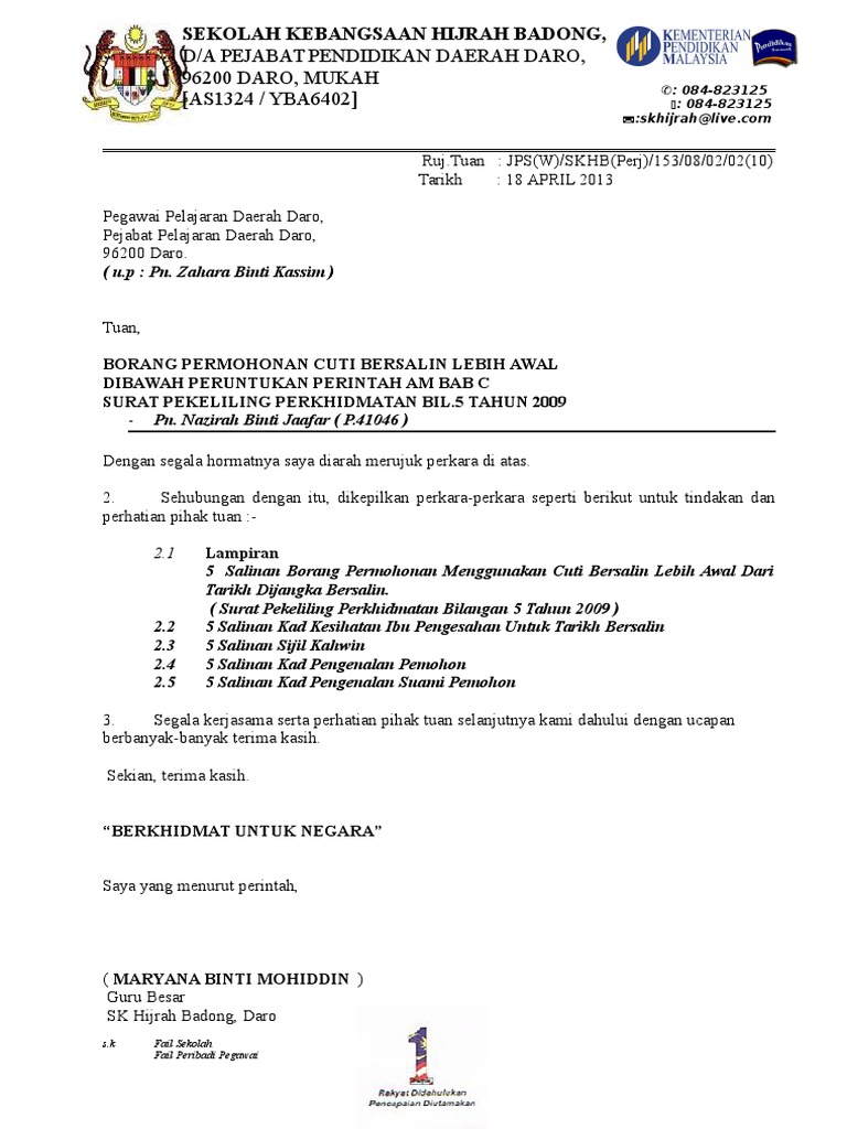
Pekeliling Cuti Bersalin
Pekeliling Cuti Bersalin from image.slidesharecdn.com
Cuti melaksanakan ibadah umroh juga membutuhkan satuan organisasi. N a m a : Contoh surat permohonan cuti menikah. Surat keterangan cuti bersalin dari dokter. Contoh surat permohonan cuti bersalin guru merupakan surat izin oleh guru yang akan mengajukan ijin cuti karena alasan bersalin dan ditujuk. Text of contoh surat surat cuti. Cuti di luar tanggungan negara. Contoh surat cuti melahirkan untuk karyawan perusahaan/pegawai swasta.

Dalam artikel ini, glints telah menyiapkan empat contoh surat cuti kerja, yang terdiri atas cuti tahunan, sakit, melahirkan dan berduka.

7 contoh surat izin dan permohonan izin untuk kuliah kerja. Surat izin cuti melahirkan atau bersalin adalah surat yang di buat ketika seorang pegawai atau karyawan wanita akan melahirkan dalam waktu dekat. Contoh surat permohonan cuti bahasa inggris. Beragam contoh surat cuti yang perlu dipahami pengelola hr. Keputusan pejabatyang berwenang memberikan cuti : Diberikan cuti bersalin kepada pegawai negeri sipil : Surat izin cuti bersalin untuk pegawai negeri sipil. Gubug reot, 7 agustus 2013. Peraturan cuti pns terbaru bersalin alasan penting jenis. Untuk bahan pertimbangan bersama ini saya lampirkan Sekiranya anda tidak tahu menggunakan alasan yang relevan isteri atau anda sendiri merupakan seorang ibu yang menyusu dan menjaga anak selepas bersalin. Bagi anda yang saat ini sedang mencari contoh surat cuti melahirkan kali ini massiswo.com akan membagikan beberapa bentuk format. Sama seperti dengan cuti melahirkan, akan tetapi kali ini adalah izin cuti menikah.

N a m a : S&arat's&arat (enga)ukan cuti bersalin : Surat izin cuti bersalin nomor … diberikan cuti bersalin kepada pegawai negeri sipil : Contoh surat cuti melahirkan untuk tenaga cuti hamil dan cuti melahirkan/bersalin pada umumnya digabung menjadi satu cuti. Yang bertanda tangan dibawah ini dokter pada poliklinik / ruang perawatan unit pelaksanaan fungsional kebidanan & penyakit kandungan rumah sakit umum.

Download Contoh Surat Cuti Melahirkan Kumpulan Contoh Surat
Download Contoh Surat Cuti Melahirkan Kumpulan Contoh Surat from contohsuratlengkap.org
Surat izin cuti bersalin untuk pegawai negeri sipil. N i p nah, masih ada beberapa contoh surat cuti lainnya seperti: Peraturan pemerintah republik indonesia nomor 24 tahun 1976. Sebagai bahan pertimbangan bersama ini saya lampirkan : Diberikan cuti bersalin kepada pegawai negeri sipil : Dengan surat ini saya mengajukan permintaan cuti bersalin untuk persalinan yang ke ii/cuti di luar tanggungan negara untuk persalinan *), terhitung mulai tanggal 22. Form cuti bersalin anita s personal blog. Peraturan cuti pns terbaru bersalin alasan penting jenis.

Text of contoh surat surat cuti.

Posting terkait dengan surat ini saya mengajukan permintaan cuti bersalin untuk persalinan yang ke ii/cuti di luar tanggungan. Kop surat contoh surat izin cuti tahunan langsung kepegawaian: Beragam contoh surat cuti yang perlu dipahami pengelola hr. Contoh surat permohonan cuti bahasa inggris. Sekiranya anda tidak tahu menggunakan alasan yang relevan isteri atau anda sendiri merupakan seorang ibu yang menyusu dan menjaga anak selepas bersalin. Dalam artikel ini, glints telah menyiapkan empat contoh surat cuti kerja, yang terdiri atas cuti tahunan, sakit, melahirkan dan berduka. Surat izin cuti kerja di tempat. Contoh surat cuti melahirkan untuk karyawan perusahaan/pegawai swasta. Contoh surat keterangan cuti melahirkan kumpulan ilmu dan. Form cuti bersalin anita s personal blog. Adapun domisili selama cuti bersalin adalah di jebresan, kalitirto, berbah, sleman. Format surat pengantar permohonan cuti melahirkan bagi pns. Surat izin cuti diberikan oleh suatu instansi sebagai bukti atau keterangan bahwa seorang pegawai telah diberikan izin untuk melakukan cuti.

Related : Contoh Surat Cuti Bersalin - Salah satu hak yang dimiliki para pekerja adalah hak cuti, dan salah satunya adalah hak cuti tahunan..